临淄事业单位公车改革取消车辆拍卖会 交款说明
成交后即可交款,5月17日15时前缴纳全部款项,17日9时开始提车,17日16时前提取车辆。否则,买受人支付停车费用100元/辆/天。
成交车辆款项缴纳:(不是保证金的交纳账户)
1、买受人按照成交价款的3.3%向拍卖人支付拍卖佣金。
2、买受人将车辆成交价款和拍卖佣金成交款项账户:
户名:山东公正拍卖有限公司
开户银行:招商银行临淄支行
帐号:5339 0078 4810 987
转账时必须附加买受人姓名和成交车辆号牌号码,如“张三鲁C12345车款”。提车现场不接受现金支付。
3、成交后即可交款,5月17日15时前缴纳全部款项,17日9时开始提车,17日16时前提取车辆。否则,买受人支付停车费用100元/辆/天。
车辆产权过户:
1、买受人提取车辆后5个工作日内在临淄车管所办理产权过户手续。临淄车管所为本次公车过户提供绿色通道。
2、过户完毕后,买受人将车辆过户完毕后的机动车登记证书两页、行驶证和二手车交易税发票的扫描件或清晰的照片发送至我公司的微信公众号→过户资料,填写信息,上传图片(微信公众号:sdgzpm)。公司安排专人接受买受人的材料(发送后电话2280126于经理落实照片上传情况),审核后提交临淄分中心,临淄分中心在5个工作日内退还保证金。
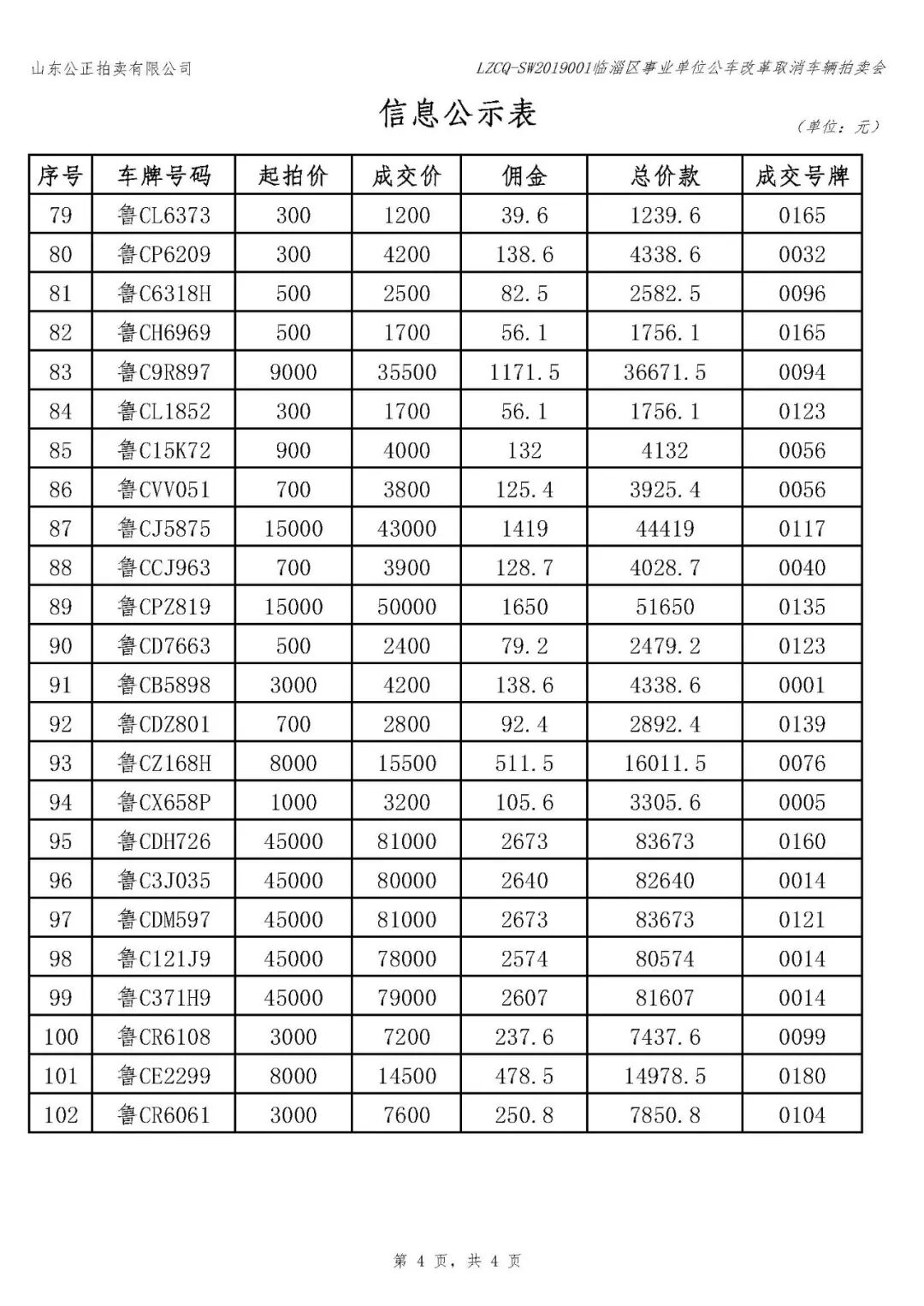
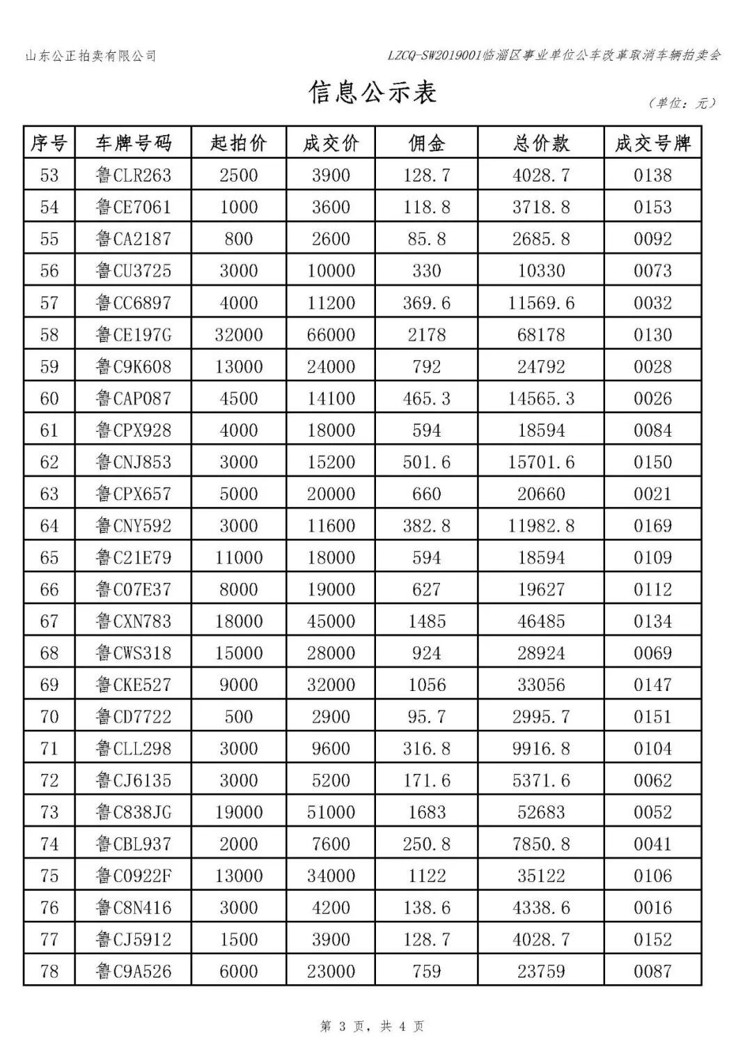
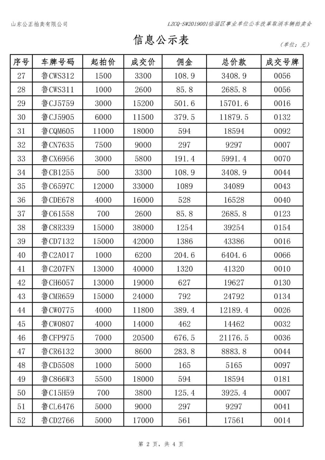
信息公示表:
编辑:未知
相关文章:



鲁公网安备 37030502000908号